Vilken är den mest populära psykoaktiva drogen i världen? Koffein så klart!
Vår favoritdrog har mängder av olika fysiologiska effekter, varav den främsta för oss som tränar kanske är dess kapacitet att förbättra vår prestationsförmåga under fysisk aktivitet. Den här effekten sker i huvudsak genom att koffeinet blockerar signalsubstansen adenosin från att binda till sina receptorer.
Koffein förbättrar inte bara prestationsförmågan inom syrekrävande aktiviteter och muskulär uthållighet, utan även styrke- och kraftberoende aktiviteter som 1RM-lyft och höga upphopp.
I den här artikeln kommer du att få lära dig allt du behöver veta om koffein och lite till, allt från hur det påverkar din prestation i gymmet till hur säkert det är att använda, rekommenderade doser, och mycket mer.
Innehållsförteckning
Vad är koffein?
Koffein är en naturligt förekommande stimulant av det centrala nervsystemet. I naturen återfinner vi koffein i växter, där den mest kända är kaffebönan. Kaffebönan är egentligen ett frö inuti en körsbärsliknande frukt, som vi bara kallar böna eftersom den liknar riktiga bönor till utseendet.

Den mest populära källan till koffein, kaffe, har druckits sedan omkring år 850, då kaffebusken upptäcktes i Egypten.1 Efter det spreds kaffedrickandet som en löpeld över världen, så till den grad att det i dag är den näst mest konsumerade drycken i hela världen, endast bakom vatten.
Koffein som återfinns i andra produkter än kaffe och te är vanligtvis syntetiserat och har alltså inte utvunnits från plantor eller frön.
Rent koffein är ett vitt, bittert pulver med en löslighet i vatten på ungefär 2 gram per deciliter, vilket är cirka 50 gånger högre än koncentrationen i de koffeinrika drycker vi dricker till vardags. Torrt koffeinpulver kallas ibland vattenfritt koffein, eller “anhydrous caffeine” på engelska.
Omkring 85 % av den amerikanska befolkningen dricker minst en koffeinrik dryck per dag och det genomsnittliga intaget är 165 mg.2
Nedan ser du koffeinmängden i genomsnittliga portioner av några av de vanligaste koffeinkällorna.

Koffeinets upptag och nedbrytning i kroppen
Koffein tas upp mycket snabbt och nästan helt fullständigt. Inom 45 minuter har 99 % av koffeinet absorberats i mag- och tarmkanalen.3
Vid en tillräckligt hög dos, mellan 5 och 6 mg per kilo kroppsvikt, når koffeinet maximala nivåer i plasma redan efter 30 minuter. Efter intag av en mindre mängd koffein tar det upp till en timme innan det når maximala nivåer. Upptaget kan bli fördröjt med två timmar eller längre, om man tar koffeinet i samband med en måltid.
Koffeinets halveringstid ligger på runt fyra timmar. Det betyder att när koffeinet nått maximala nivåer i plasma, tar det ungefär fyra timmar för dem att sjunka till hälften. Ytterligare fyra timmar senare har de sjunkit till hälften igen.4

Leverenzymet CYP1A2 står för omkring 95 % av metaboliseringen av koffein.5 Upp till 90 % av koffeinet metaboliseras via levern till tre huvudsakliga metaboliter: paraxantin (80 %), teobromin (10 %) samt triviala mängder teofyllin.6
Hur påverkar koffein prestationsförmågan?
Sedan tidigt 1900-tal är det dokumenterat att koffein ökar kapaciteten för muskulärt arbete.7
Över årtiondena har forskare lagt fram ett antal förklaringsmodeller för koffeinets ergogena efekter. Tidiga teorier inkluderade glykogenbesparande effekter och förändrad substratanvändning vid fysisk aktivitet. Nuvarande vetenskapliga konsensus är dock att koffein verkar prestationshöjande genom att blockera receptorerna för signalsubstansen adenosin.

Adenosin minskar hjärnans förmåga att skicka nervsignaler och blockerar smärtsignaler från att nå hjärnan. Koffeinet binder till adenosinreceptorerna och fungerar därmed som en antagonist till dessa. Det skapar en kapacitet för mer kraftfulla muskelkontraktioner under en längre tid. Kombinationen av en minskad upplevd ansträngning under träningen och hämmad smärtupplevelse gör att adenosinantagonism är den huvudsakliga faktorn som driver koffeinets prestationshöjande effekter.8 9
Effekterna av koffein på muskulär styrka och kraft
Låt oss gripa tag i frågan på allas läppar med en gång: kommer kaffe eller koffein hjälpa dig att lyfta mer och prestera bättre i gymmet?
Svaret är ja, det kommer det sannolikt att göra. Genetiska skillnader påverkar det indiviudella gensvaret på koffein och koffein påverkar vissa typer av styrketräning mer än andra. I allmänhet kan du dock förvänta dig att kunna kämpa upp några repetitioner extra och lyfta några kilo mer med koffein i kroppen.
Det finns en stort antal studier, översiktsartiklar och metaanalyser som bekräftar att koffein har en positiv effekt på prestationsförmågan inom uthållighetsgrenar. Eftersom det redan finns en så stor mängd litteratur, både vetenskaplig och populärvetenskaplig, som dokumenterar det faktum att koffein förbättrar muskulär uthållighet, kommer vi i den här artikeln främst att fokusera på effekterna på styrka och kraft.
Flera metaanalyser har undersökt koffeinets effekt på muskulär styrka och kraft under det senaste årtiondet.
2010 års metaanalys
Den första av dessa metaanalyser är från 2010 och samlar resultaten från 34 studier utförda mellan 1939 och 2008. Den undersöker effekterna av koffein på maximal kontraktionsstyrka och muskulär uthållighet.10
Den kunde konstatera att koffeinintag har en liten men signifikant effekt på maximal frivillig kontraktionsstyrka, men att den effekten är begränsad till knästräckarmusklerna. Den här styrkeökningen var ungefär 7 % större jämfört med placebo och inte uppenbar i övriga undersökta muskelgrupper, som underarmarna eller knäböjarmusklerna.
Bara 2 av de 34 inkluderade studierna testade effekten av koffein på maxstyrkan i 1RM-tester. Det betyder att resultaten från 2010 års metaanalys i princip bara är relevanta för isokinetisk och isometrisk styrka. Antalet studier som undersökte 1RM är nämligen för få för statistiskt säkra slutsatser angående koffeinets påverkan på maximal styrka.
2016 års metanalys
Den andra metaanalysen publicerades 2016 med syftet att skapa en översikt av koffeinets eventuella prestationshöjande effekter på styrka och uthållighet i dynamiska styrketräningsövningar.11
Den här metaanalysen fann att koffein förbättrar muskulär uthållighet, men kunde inte hitta några betydelsefylla effekter på maximal styrka baserat på resultaten från de inkluderade studierna.
På grund av att bara fem studier relaterade till muskelstyrka uppfyllde kriterierna för att tas med i den här metaanalysen får den begränsad nytta när det gäller att utvärdera effekterna av koffein på styrka. Av de fem studierna på styrka var det dessutom bara tre, med ett totalt deltagarantal på färre än 50, som undersökte maxstyrka. Det omöjliggjorde också analyser av undergrupper av deltagarna.
2018 års metaanalys
År 2018 publicerades den tredje metanalysen som undersökte effekterna av koffein på maximal muskelstyrka och muskelkraft, det senare mätt i form av höga upphopp.12
Efter att ha kombinerat data från 10 studier med styrkerelaterade resultat och 10 studier med kraftrelaterade restultat, som alla uppfyllde kriterierna för att inkluderas, kunde den här metaanalysen dra slutsatsen att koffein förbättrar både styrka och kraft signifikant.
En undergruppsanalys avslöjade att den här prestationsförbättrande effekten var som mest påtaglig i överkroppens muskulatur, medan man inte kunde urskilja någon poolad effekt för underkroppens.
Den här skillnaden i prestationshöjande effekt mellan överkroppens och underkroppens muskler är värd att studera vidare, då enskilda studier definitivt har funnit att koffeinintag innan styrketräning för underkroppen kan möjliggöra tyngre total belastning jämfört med placebo.13
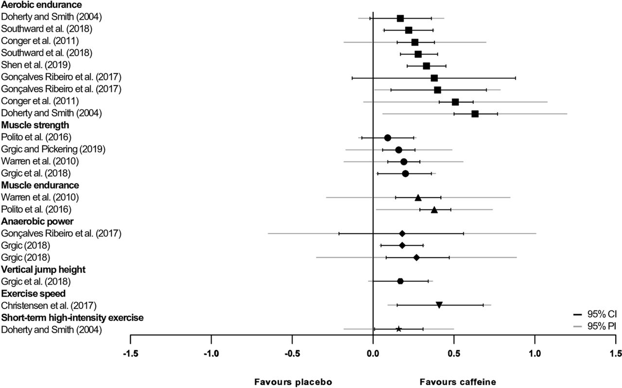
Skogsdiagrammet nedan är från metaanalysen från 2018 och illustrerar skillnaderna mellan effekterna av koffein och placebo vid mätningar av maximal muskelstyrka.

2019 års metaanalys
Så sent som 2019 publicerades ytterligare en metaanalys, som sammanställde effekterna av koffein på isokinetisk muskelstyrka.14
I linje med resultaten från tidigare metaanalyser, ledde analysen av de 10 inkluderade studierna till slutsatsen att koffein signifikant kan öka den dynamiska styrkan, och då främst i knästräckarmuskulaturen.
Resultat från en paraplystudie
En så kallad paraplystudie sammanfattade 2019 resultaten från alla metaanalyser som tittat på effekterna av koffein på fysisk prestationsförmåga. Det handlade om muskelstyrka, muskeluthållighet, kraft, aerob uthållighet, hoppförmåga och snabbhet.
Paraplystudien analyserade 21 stycken metaanalyser, inklusive de tre första av de ovan nämnda. Den fann att koffein har prestationshöjande effekter på en lång rad träningsrelaterade parametrar, inklusive de som rör styrka och kraft.15
Den slutsatsen får stöd av översiktsartiklar av moderat till hög kvalitet och vetenskapliga bevis av moderat kvalitet. Det indikerar att koffein kan vara till nytta inom i princip vilken typ av fysisk aktivitet som helst. Generellt verkar dock de prestationsförbättrande effekterna vara mer påtagliga inom aeroba träningsformer jämfört med anaeroba, som styrketräning.

Sammanfattning
De samlade vetenskapliga bevisen visar att koffein har signifikanta positiva prestationshöjande effekter på både muskelstyrka och kraft. Det innebär att koffein kan vara till nytta inom en rad styrkeberoende idrotter och för att förbättra prestationerna under träningspass på gymmet.
Det finns individuella skillnader i hur väl man svarar på koffein i ett prestationshöjande syfte, vilket gör det svårt att spekulera i exakt hur stor nytta du kan tänkas få av att använda koffein före träningspassen. Som regel kan du dock förvänta dig att kunna lyfta mer och prestera bättre i gymmet, om du dricker kaffe eller får i dig koffein från någon annan källa innan ett träningspass.
Effekten av koffein på muskeltillväxt
Du kommer inte att få större muskler av koffeinet i sig, men kanske från de prestationsförbättrande effekterna det ger dig. Några studier på senare år har dock givit upphov till frågetecken ifall koffein kan tänkas minska de anabola signalmekanismerna och den stimulans av muskelproteinsyntesen som styrketräning startar. Det här verkar vara något som du sannolikt inte behöver ligga sömnlös och oroa dig för.
Det finns cellkulturstudier vars resultat har indikerat att koffein kan påverka anabola signalmekanismer negativt genom att undertrycka signalvägar med benämningarna AKT/mTOR/S6K, NF-?B och MAPK.16 17
Dessa observationer har gjorts vid direkt inkubation av celler i suprafysiologiska mängder koffein. Det gör att det är osannolikt att resultaten är direkt överförbara till människor som konsumerar moderata mängder koffein oralt.
Däremot kan resultaten tänkas indikera medicinska användningsområden för koffein, som en kapacitet att förstärka effekten av cancermediciner genom att hämma signalvägar för DNA-reparation. Att normalt kaffedrickande eller koffeinbruk skulle påverka muskelproteinsyntesen eller hämma anabola signalmekansimer som styr muskeluppbyggnaden känns mindre sannolikt.
Vad har djur- och människostudier att säga om saken?
Minst en djurstudie stödjer antagandet att koffein sannolikt inte har någon negativ effekt på muskelproteinsyntesen.18
Möss som gavs koffein uppvisade inte några hämmade signalmekanismer eller proteinsyntes. Tvärtom observerades ökad aktivering av rpS6, ett protein som kontrollerar celltillväxt och celldelning, efter det att råttorna fick koffeinet. Inte heller kunde man se några negativa effekter av koffeinet på muskeltillväxten i råttornas gastrocnemius- och soleusmuskler som följd av elektriskt stimulerade kontraktioner.
Det finns inga granskade och publicerade studier på människor som undersöker eventuella effekter av koffein på muskelproteinsyntes och anabola signalvägar. Däremot finns det en doktorsavhandling, vars resultat pekar på att koffein inte har någon effekt på muskelproteinsyntesen efter ett styrketräningspass och att det inte påverkar den fettfria massan under långvarig styrketräning.19
De resultaten kan inte användas som vetenskapliga bevis, eftersom de inte är publicerade i någon vetenskapligt granskad studie, men taget för vad de är visar de att mer forskning behövs för att säkerställa dessa preliminära upptäckter.
Sammanfattning
Det här är ett intressant forskningsområde, men sannolikt inget som har någon praktisk betydelse för den koffeinkonsumerande styrkeatleten.
Effekten av koffein på anabola och katabola hormoner
Alla känner vi till sambandet mellan testosteron och muskeltillväxt. Koffein kan öka testosteronnivåerna, men antagligen inte tillräckligt mycket under tillräckligt lång tid för att det ska ha några betydelsefulla effekter.
Koffeinintag i allmänhet är inte kopplat till manliga testosteronnivåer,20 men flera studier har visat att ett akut koffeinintag kan öka testosteronsvaret på styrketräning.
- Professionella rugbyspelare som fick antingen 200, 400 eller 800 mg koffein en timme före ett styrketräningspass uppvisade dosrelaterade ökningar av testosteronnivåerna på 15 till 21 %.21 Den 800 mg höga dosen resulterade dock samtidigt i att kortisolnivåerna steg med 52±44 %, vilket betyder en liten försämring av ration mellan testosteron och kortisol.
- I en senare studie gavs manliga universitetsstudenter som regelbundet ägnade sig åt styrketräning antingen 2, 4 eller 6 mg koffein per kilo kroppsvikt en timme innan ett styrketräningpass. Både testosteron- och kortisolsvaren på styrketräningen blev större efter den högsta koffeindosen.22
Koffein verkar alltså kunna skapa en akut förhöjning av testosteronnivåerna, men samtidigt kan det också hämma tillväxthormonsvaret på styrketräningen, möjligen genom påverkan på koncentrationen av fria fettsyror i blodet.23
Har dessa hormonella effekter någon praktisk betydelse?
Några studier indikerar att de akuta hormonella förändringarna som sker efter stryketräning kan förbättra träningsanpassningarna.24 Andra studier har dock på sin höjd funnit en svag koppling mellan hormonsvängingar i samband med styrketräning och muskulär hypertrofi.25
En nyligen publicerad översiktsartikel fann att förhöjda hormonnivåer i samband med styrketräning inte verkar ha något direkt samband med muskeltillväxt.26
Å andra sidan fann en norsk studie från 2016 att bicepsträning direkt efter ett knäböjspass gav större muskeltillväxt i biceps än att träna dem på en separat armdag.27 Forskarna drog där slutsatsen att de förhöjda nivåerna av testosteron och tillväxthormon man observerade efter benträningen ledde till bättre träningsanpassningar jämfört med armträning utan dessa förhöjda hormonnivåer.
Sammanfattning
Oavsett ifall tillfälligt förhöjda nivåer av anabola hormoner faktiskt leder till större muskeltillväxt eller inte, verkar det som att koffein innan träning kan stimulera testosteronfrisättningen. En samtida ökning av kortisolnivåerna och en liten försämring av ration mellan testosteron och kortisol vid större intag kan dock helt eller delvis eliminera eventuella anabola fördelar.
Sammanfattningsvis har alltså koffein kapaciteten att påverka balansen mellan anabola och katabola hormoner, men effekterna av detta är sannolikt inte tillräckligt kraftfulla för någon störe betydelse.
Koffein ökar glykogensyntesen efter träning
Kaffe kan hjälpa dig att återhämta dig snabbare efter ett träningspass. Det låter väl trevligt? Hur fungerar det?
Utmattande eller långvarig träning tömmer musklernas depåer av glykogen. Äter du tillräckligt med kolhydrater återställer du normalt glykogennivåerna inom loppet av ett dygn. När en idrottare önskar eller har behov av en snabbare återhämtning av muskelglykogenet, kan stora doser av koffein tillsammans med kolhydratrika måltider skynda på den här processen.28

Den här kombinationen av kolhydrat och koffein efter en tömning av muskelglykogenet verkar också förbättra den faktiska prestationsförmågan vid en påföljande ansträngning.29
Det finns bara ett fåtal studier som undersökt den här saken, men det är ett intressant koncept för snabbare återhämtning efter träning. Det är i dagsläget inte klarlagt ifall det är fler är en av kemikalierna i kaffe som driver den här påskyndade glykogensyntesen.
Dosering
Hur mycket du bör få i dig är en av de viktigaste sakerna att tänka på när du tar koffein i samband med träning. Tar du för lite kanske du inte får några prestationshöjande effekter alls. Tar du för mycket får du kanske effekter du inte alls vill ha, som illamående, kallsvett och skakningar.
- Allmänna rekommendationer för koffeinintag innan träning ligger mellan 3 och 9 mg per kilo kroppsvikt.30
- Den mest använda dosen i träningsstudier är 6 mg per kilo kroppsvikt.31
Den optimala mängden för de flesta ligger antagligen någonstans i de intervallen. Ligger du där, kan det inte bli fel.
Muskeluthållighet och allmän uthållighetsträning
Majoriteten av de studier som har granskat effekten av olika doser av koffein på prestationsförmågan har fokuserat på uthållighetsträning. Här verkar koffein ha en dosrelaterat prestationshöjande effekt. För varje ökning av koffeindosen med 1 mg, ökar den relativa effektstorleken för muskulär uthållighet med 0,1.32 Det här dosrelaterade gensvaret kan dock bara förklara en liten del av variansen mellan olika studier, så du bör inte tolka den här dosrelaterade effekten som helt linjär eller huggen i sten.
Låga doser av koffein på mindre än 3 mg per kilo kroppsvikt kan vara tillräckligt för att förbättra uthålligheten.33 Senare års forskning har dock visat på en stor individuell variation i hur stor den ergogena responsen på ett koffeinintag blir.
Som ett exempel förbättrade 2 och 3 mg koffein per kilo kroppsvikt innan ett träningspass prestationsförmågan hos tränade cyklister, medan 1 mg per kilo inte gjorde det.34
Tittar vi på individuella data från den studien ser vi att vissa deltagare förbättrade sin prestation av all doser, inklusive den lägsta. Andra fick bara en prestationshöjande effekt av någon eller några doser, men prestationsförsämringar av andra. En deltagare fick inte någon prestationshöjande effekt alls, oavsett hur stor dosen av koffein var.

Styrketräning
När det gäller styrketräning, finns det bara ett fåtal studier som har undersökt och försökt fastställa en optimal dos koffein för maximal effekt.
Flera studier har undersökt effekten av 3 mg koffein per kilo kroppsvikt innan ett styrketräningpass på muskulär kraft, styrka och prestation hos tränade individer.35 36 37
Alla dessa har funnit att 3 mg koffein per kilo kroppsvikt är tillräckligt för att förbättra muskulär prestationsförmåga. En av dem visade dock att den mängden var tillräcklig för en prestationshöjande effekt när belastningen var låg till moderat, men inte vid träning med hög intensitet runt 90 % av 1RM. För att förbättra resultaten under så intensiva lyft, behövde deltagarna trycka i sig 9 mg per kilo kroppsvikt, trots att den dosen även introducerade negativa bieffekter.

En ny studie undersökte effekterna av tre olika stora doser av koffein på muskelstyrka och muskeluthållighet.38 Tjugoåtta män, vana vid styrketräning, genomgick två tester under fem olika förutsättningar. En gång utan varken placebo eller koffein, en gång med placebo och tre gånger med olika mängder koffein: 2, 4 respektive 6 mg per kilo kroppsvikt. Forskarna testade deltagarnas muskelstyrka med 1RM-tester i knäböj och bänkpress. Muskeluthålligheten mättes med samma övningar, men med belastningar på 60 % av 1RM.
Resultaten visade att koffein ökade maxstyrkan i överkroppen i ett linjärt dosrelaterat förhållande. Bara 2 mg koffein per kilo kroppsvikt förbättrade maxstyrkan i underkroppen, något som kanske känns en aning förvånande. Alla tre doserna förbättrade muskeluthålligheten i underkroppen, men hade ingen effekt på muskeluthålligheten i överkroppen.
Ju mer koffein du tar, desto mer ökar din maxstyrka i överkroppen, med andra ord. Förvänta dig inte samma effekt på underkroppens maxstyrka. Enligt den här studien är effekterna på underkroppsstyrkan tveksamma.
Det verkar inte spela någon roll hur mycket koffein du använder för muskeluthålligheten i underkroppen. Du får effekt redan av mängder motsvarande en till två koppar kaffe, men mer än så verkar inte ge något extra. Koffein kommer troligtvis inte hjälpa dig med högrepsträning med moderat belastning i bänkpress, dock.
Sammanfattning
Eftersom låga doser av koffein har få, om ens några, bieffekter, kan det vara en god idé att börja med en sådan mängd, omkring 3 mg per kilo kroppsvikt, före träning. Den dosen förbättrar prestationsförmågan hos de flesta, oavsett träningsform.
Med den utgångspunkten kan du sedan gradvis öka dosen till 6 mg per kilo kroppsvikt, vid behov. Det är möjligt att högre doser ger något större positiva effekter på prestationsförmågan i gymmet, men samtidigt ökar du då även risken för negativa bieffekter.
Tajming av koffeinintag före träning
Som en allmän tumregel kan du utgå från att koffein en timme innan du börjar träna är ett bra tidsintervall mellan intag och aktivitet för att du ska få bra nytta av det under passet.
Precis som när det gäller dosering, är tajmingen av koffeinintag viktigt för att få största möjliga effekt under träningspasset. Tyvärr finns det inte tillräckligt många studier av hög kvalitet för att man ska kunna dra några slutgiltiga slutsatser. Något optimalt tillfälle i minuter innan träningspasset för att försäkra sig om bästa effekt är alltså inte känt.
De flesta publicerade studier på området har använt sig av ett upplägg där deltagarna fått koffeinet en timme innan träningspasset eller mättillfället. Studier som har använt ett tidsintervall på 45 eller 90 minuter mellan intag och aktivitet har inte sett några prestationshöjande effekter alls.39 40
Hur kan en kvart till en halvtimme mer eller mindre helt eliminera fördelarna av koffein? Det är för närvarande inte klarlagt. Det skulle kunna bero på andra inblandade orsaksfaktorer än skillnader i tid mellan koffeinintagen och träningen. Eller på en kombination av olika orsaksfaktorer och väntetiden. Kanske framtida forskning kan reda ut saken.
Sammanfattning
Allmänna riktlinjer brukar rekommendera ett koffeinintag 60 minuter innan träningspasset för att du ska kunna åtnjuta dess positiva effekter på prestationsförmågan. Det finns ett antal faktorer som kan påverka det här tidsintervallet på individbasis. Bland dessa hittar vi genetiska variationer i hur snabbt individen metaboliserar koffein, träningstatus och träningsvana, födointag, tillvänjning och eventuellt bruk av vissa mediciner. Alla dessa faktorer kan påverka och förskjuta tidpunkten då koffeintaget gör som mest nytta.41
Eftersom det inte finns några riktiga vetenskapliga riktlinjer för hur man optimerar sitt koffeinintag på individnivå, kan “trial and error”-metoden, där du genom att själv experimentera dig fram till en tidpunkt du upplever fungerar bäst vara det bästa valet i dagsläget. Så många olika studier har visat att koffein en timme för träning är prestationshöjande, att det är en vettig rekommendation att utgå från. Det tidsfönstret sammanfaller också väl med den genomsnittliga tid det tar för koffeinet att nå maximala nivåer i blodet.
Olika former av koffein och hur de påverkar prestationsförmågan
Koffein hjälper dig att prestera bättre, oavsett källa, så länge du får tillräckligt av det.
Om du föredrar vanligt kaffe framför piller eller andra former av koffein är det ett utmärkt alternativ, men tänk på att du kanske beöver dricka ett antal koppar för någon märkbar effekt.
Kaffe
Majoriteten av studierna som undersökt effekterna av koffein på träningskapacitet har använt den vattenfria formen av koffein, ofta i form av piller eller kapslar. Å andra sidan är den överlägset mest använda koffeinkällan bland folk i allmänhet vanligt kaffe.
Uthållighetsträning
Tidigare studier visade att koffein i form av kaffe inte har samma prestationshöjande effekter som rent koffein i tillskottsform. En översiktartikel från 2001 drog slutsatsen att kaffe saknar effekt jämfört med rent koffein. Det skulle kunna bero på samspel mellan koffeinet och någon eller några andra av de tusen andra substanserna i kaffebönan.42
De flesta senare studier indikerar dock att kaffe har samma prestationshöjande effekter som vattenfritt koffein, så länge den totala mängden koffein är lika stor. En studie från 2016 visade till exempel att kaffe innan träning gav förbättrade uthålligheten precis lika mycket som som vattenfritt kaffe.43

Styrketräning
Studier som fokuserat på styrketräning och sprintträning har kommit fram till liknande slutsatser.
I en studie fick tränade män antingen vanligt kaffe, koffeinfritt kaffe, koffeinfritt kaffe plus vattenfritt koffein eller placebo innan ett styrketräningpass. Alla koffeinintag gjorde att deltagarna kunde lyfta mer total vikt än placebo, men det var inga skillnader beroende på varifrån koffeinet kom.44
En annan studie, även den från 2016, demonstrerade att 300 mg koffein ger samma prestationsförbättrande effekt i form av vanligt kaffe med lika stor koffeinmängd. Tränade män testades både i form av sprinter och i form av repetitioner till utmatting på 80 % av 1RM i benpress och bänkpress. Resultaten visade att både vattenfritt koffein och kaffe förbättrade sprintförmågan lika mycket jämfört med placebo.45
Problemen med kaffe
Det första är att du aldrig kan vara riktigt säker på hur mycket koffein du faktiskt får. Databaser som anger koffeinmängden i olika typer av mat och dryck, inklusive kaffe, har bara medelvärden. Det finns många faktorer, som typen av kaffeböna och rostningsproceduren, som påverkar hur mycket koffein som i slutändan hamnar i just din kopp.
Even när du använder samma kaffeprodukt och samma tillagningsmetoder dag efter dag, kan du få olika mängder koffein som resultat. En studie visade att samma kaffe från samma källa innehöll koffeinmängder som varierade från 259 till 564 mg per portion från dag till dag.46

En genomsnittlig kopp kaffe ger dig omkring 100 mg koffein, men just den kopp du nyss drack kan ha innehållit mer eller mindre än den mängden. Det här gör det svårt att uppskatta hur mycket koffein du faktiskt får. Eftersom du behöver en viss minsta mängd koffein för ett ordentligt prestationshöjande gensvar, kan en överskattning av koffeinmängden i en kopp kaffe innebära att den effekten uteblir.
Å andra sidan kan en underskattning göra att du hamnar över gränser för din tolerans för koffein. Det kan leda till att du känner dig skakig och illamående under träningspasset istället för fylld med energi.
Det andra problemet är helt enkelt mängden vätska som krävs för att få tillräckligt med koffein i ett intag, om källan till det koffeinet är kaffe eller te. Om du siktar på 4–600 mg koffein, kan det bli obehagligt mycket kaffe att hälla i sig strax före ett träningspass. Det blir en halv liter eller mer, som kan skapa obehagliga magproblem och göra att du måste springa på toaletten flera gånger under passet.
Andra koffeinkällor
På senare tid har den ergogena potentialen hos koffein i andra former än de gamla vanliga väckt intresse. Bland dessa återfinner vi koffeinrikt tuggummi, gel, bars, energidryck och munsköljning med koffeinrik vätska.
Tuggummi
Koffeinberikade tuggummin ger ett mycket snabbt upptag av koffeinet, antagligen snabbare än via andra källor. Ett snabbt upptag i munhålan kombinerat med koffeinet som absorberas vid sväljningarna under tuggandet ger det här påfallande snabba upptaget i plasma.47
En studie kom dock fram till en något annorlunda slutsats och indikerade att skillnaderna i upptag mellan koffein från tuggummi och snabbkaffe inte är speciellt stora.48
Det snabba upptaget av koffein från tuggummi skulle kunna göra det till ett alternativ när man bara har en kort tid på sig till träningen eller tävlingen. En studie från 2011 visade att koffein från berikat tuggummi är ett effektivt sätt att förbättra prestationsförmågan för kraftatleter. Kulstötare förbättrade både sin prestationsförmåga och kände sig piggare efter att ha tuggat koffeinrikt tuggummi jämfört med ett placebo-tuggummi.49
Energidryck
Mängder av studier över flera årtionen har undersökt effekterna av koffeinhaltiga energidrycker på prestationsförmågan vid träning. En nyligen publicerad metaanalys kom fram till slutsatsen att intag av energidrycker före träning förbättrar både muskulär styrka och uthållighet.50 Dessa förbättringar är dock kopplade till taurinmängden i dessa energidrycker, inte till koffeinmängden.
Nuvarande vetenskapliga bevis ger inte stöd för påståenden att koffeinet från energidrycker ger några prestationshöjande effekter.51
Man ska dock nämna att många av de studier som inte upptäckt någon effekt gett deltagarna relativt små mängder Red Bull med 80 till 160 mg koffein. Det kan vara för små doser av koffein för att man ska se några signifikanta prestationsförbättringar, oavsett källan.
Koffeinrika gels och bars
Det finns bara ett fåtal träningsstudier som har använt sig av gels eller bars som koffeinkälla. En studie från 2008 visade att koffein från en berikad bar förbättrade prestationsförmågan, förlängde tiden till utmattning och stärkte den kognitiva förmågan under långvarig cykling.52
Två andra studier demonstrerade att koffein i form av koffeinberikad gel förbättrar prestationen i både rodd och i sprintintervaller.53 54
Det finns inga studier som undersöker effekter av koffein från dessa två källor på prestationsförmågan i styrkerelaterade moment.
Sammanfattning
Så länge den totala mängden koffein är densamma, spelar det antagligen mindre roll om du föredrar att få ditt koffein i pillerform, som kaffe, eller från någon annan koncentrerad källa innan ett träningspass. Oavsett vilken källa du väljer, kommer du sannolikt att få likvärdiga prestationsförbättrande fördelar.
Genetiska skillnader i hur koffein påverkar prestationsförmågan
Om du upplever att du inte presterar bättre efter ett koffeinintag, kan det bero på att dina gener spelar dig ett spratt. Senaste årtiondets forskning har visat att de flesta presterar bättre efter koffeinintag, men inte alla.
Tittar vi på det individuella gensvaret på koffeinintag, ser vi att en del individer bara får små eller inga prestationsförbättringar. En del får till och med försämrad prestationsförmåga efter koffeinintag.
Det här beror på enzymet CYP1A2 och den genetiskt förutbestämda hastigheten med vilken du metaboliserar koffein.
Leverenzymet CYP1A2 ansvarar för mer än 95 % av metaboliseringen av koffein.55 Senare års forskning har indikerat att genetiska variationer i CYP1A2 åtminstone delvis kan förklara de individuella skillnaderna i gensvaret på koffein och varför vissa presterar bättre medan andra inte gör det.
CYP1A2–enzymet har två alleler, A och C. A–allelen ökar aktiviteten hos CYP1A2–enzymet, medan C–allelen minskar den. Koffein metaboliseras olika snabbt beroende på individuella genotyper. AA–genotypen metabolisar koffein snabbt, medan AC–genotyper är långsamma.
Ju snabbare desto bättre
Metaboliserar man koffein snabbt, presterar man bättre. I en studie cyklade tränade atleter en mil snabbare efter koffeinintag, men det gällde bara deltagarna med AA–genotypen. Koffeinintaget påverkade inte prestationsförmågan alls för deltagarna med AC–genotypen och minskade den till och med för de med CC–genotypen.56
På liknande sätt fick bara styrketränande män med två likadana varianter av A–allelen några prestationsförbättrande effekter av 6 mg koffein per kilo kroppsvikt. Studiedeltagare med C–genotypen uppvisade inga effekter av koffein jämfört med placebo.57
Eftersom bärare av C–allelen metaboliserar koffein långsammare, är det möjligt att en längre vändetid mellan intag och aktivitet skulle ge även dem effekt. Den möjligheten är dock fortfarande inte undersökt i några studier.
En annan gen som kan påverka det ergogena gensvaret på koffeinintag är ADORA2A-genen, som styr retbarheten hos nervsystemet.58 Det finns inga studier som undersöker de kombinerade effekterna av CYP1A2 och ADORA2A på gensvaret av ett koffeinintag. Det innebär att eventuella interagerande mekanismer mellan dem är helt okända.
Sammanfattning
Det verkar finnas genetiska variabler som styr hur stor prestationshöjande effekt vi får av koffein, om vi får någon alls. De vetenskapliga bevis som finns tillgängliga i dagsläget indikerar att den genetiska variationen från person till person kan vara ganska stor. Exakt hur den förändrar det individuella gensvaret på koffeinintag är fortfarande oklart.
Det betyder att eventuella rekommendationer baserade på genetiska skillnader du kanske läst eller hört också till största delen är baserade på ren spekulation och kommer att så förbli tills det finns mer forskning på området.
Skiljer sig koffeinets effekter beroende på kön?
Deltagarna i majoriteten av de studier som har undersökt effekten av koffein på prestationsförmågan under träning har varit av manligt kön. Kan vi säkert säga att effekterna är identiska hos kvinnor? Svaret är nej, det kan vi inte, baserat på resultaten av en ny systematisk översikt.59
Både män och kvinnor kan ha alla slags former och storlekar, men generellt är män större och har en annan kroppssammansättning än kvinnor. Vår hormonbalans skiljer sig kraftigt från varandra. Därför är det inte konstigt, om något som påverkar hela vårt nervsystem och har en dosrelaterad effekt också kan påverka vår prestation på olika sätt.
Efter en noggrann analys av den tillgängliga vetenskapliga litteraturen, kunde forskarna dra slutsatsen av det inte verkar finnas några skillnader i gensvaret på koffeinintag mellan män och kvinnor när det gäller aerob aktivitet. Om du springer, cyklar eller ägnar dig åt någon annan uthållighetsträning kan du alltså förvänta dig samma effekt av koffein oavsett kön.
När vi tittar på anaerob träning, där kraft, snabbhet och styrka står i rampljuset, som sprintträning och styrketräning i gymmet, är saker och ting inte lika okomplicerade. Majoriteten av de vetenskapliga bevisen antyder att koffein har större prestationshöjande egenskaper hos män än hos kvinnor. Koffein tillåter män att lyfta tyngre, utveckla mer kraft och sprinta snabbare än kvinnor efter intag av en viss dos.
Män verkar också ha en större känslighet för koffeinintag. Det gör att koffein minskar upplevd utmattning hos män, men inte hos kvinnor.
Är det möjligt att som kvinna helt enkelt öka dosen koffein och på så sätt jämna ut könsskillnaderna? Kanske, men det skulle och introducera en ny risk för negativa bieffekter. I allmänhet väger kvinnor mindre och har mindre kroppsmassa än män. Med tanke på det skulle risken för bieffekter öka ordentligt vid en ökning av dosen från den vanliga rekommendationen på 3 till 6 mg per kilo kroppsvikt.
Om du är kvinna och undrar varför du inte får den prestationshöjande effekt du tycker att du borde få av kaffe eller koffein före ett träningspass, kanske det här är orsaken.
Koffeinintag på morgonen jämfört med på kvällen
Generellt sett är den muskulära prestationsförmågan högre på eftermiddagen och kvällen än på morgonen.60 Eftersom koffein har bevisade prestationshöjande egenskaper, skulle det kunna minimera den långsammare muskelkontraktion man har observerat vid styrketräning tidigt på dagen.
Genom att ta koffein innan ett morgonpass kan du förbättra din prestationsförmåga till den grad att den motsvarar kvällens kapacitet.61 Koffein förbättrar också den neuromuskulära prestationsförmågan mer vid ett intag på morgonen än vid ett intag på kvällen.62
Alla som har druckit kaffe sent på kvällen vet att det kan vara svårt att somna efteråt. Genom att begränsa koffeinbruket till morgonen och förmiddagen kan du också begränsa de negativa effekterna på sömnen som ett koffeinintag senare på dagen kan ha.
Tillvänjning av koffein
Den kick du får från koffein kan kännas fantastisk, men vad händer om du använder det före varje träningspass? Minskar effekten med tiden? Ja, det verkar faktiskt som att det kan hända, men alla verkar inte råka ut för det.
Regelbundet koffeinbruk kan leda till prestationförbättringar som efter en tid inte är så stora som förväntat. En del rekommendationer gör gällande att perioder med avhållsamhet från koffein, antingen före en viktig kommande prestation eller regelbundet under ett träningsupplägg, kan återställa koffeinets minskade potential att förbättra prestationen.
Det fåtal studier som har undersökt tillvänjningseffekten av koffein i träningssammanhang har kommit fram till motsägelsefulla slutsatser.
Studier som inte visar på någon tillvänjning
En studie lät 40 tränade cyklister som i vanliga fall dagligen konsumerade antingen mycket små, moderata eller stora mängder koffein utföra 3 stycken testcyklingar på tid efter att ha fått 6 mg koffein per kilo kroppsvikt, ett placebotillskott eller inget tillskott alls.63 Låg–, medel–, och högkonsumenterna svarade lika väl prestationsmässigt på koffeinintaget. Det indikerar att ett vanemässigt koffeinintag inte minskar det akuta gensvaret på ett intag före träning.
I en annan studie fick både vana och ovana koffeinanvändare antingen placebo, 3 mg koffein per kilo kroppsvikt eller 5 mg koffein per kilo kroppsvikt innan de cyklade till utmattning. Resultaten visade inte på några speciella skillnader grupperna emellan. Det antyder att koffeinet hade lika goda prestationhöjande effekter både hos de som var vana vid koffein och de som inte använde det.64
Studier som visar på tillvänjning
En studie lät vana och ovana koffeinanvändare cykla till utmattning efter att ha fått placebo eller 5 mg koffein per kilo kroppsvikt.65 Resultaten i den här studien visade på signifikant större och mer långvarig prestationshöjande effekt av koffeinet hos deltagarna som inte var vana vid koffein.
I en annan studie fick deltagare som till vardags använde inga eller mycket små mängder koffein antingen placebo eller större och större doser koffein, upp till 3 mg per kilo kroppvikt och dag, under loppet av 28 dagar.66 Både före och efter den fyraveckorsperioden fick de en akut dos koffein på 3 mg per kilo kroppsvikt, varefter de utförde ett timslångt cykeltest. I det andra cykeltestet, efter koffeintillvänjningen, uppvisade deltagarna 7,3 % sämre gensvar på det akuta koffeinintaget. Den andra gruppen fick lika god effekt av sitt koffeintintag som före placeboperioden. Det här visar att koffeinet hade förlorat en del av sin prestationshöjande effekt hos de som regelbundet konsumerat det.
Alldeles nyligen visade en studie som mätte kraft och skivstångshastighet vid bänkpressande att styrkeatleter som regelbundet brukade koffein, inte fick någon nytta av ett akut koffeinintag innan lyften.67
Samma forskare upprepade några månader senare resultaten, den här gången med hela 9 och 11 mg koffein per kilo kroppsvikt. Inte heller här förbättrades deltagarnas bänkpressresultat, utan både maxstyrka och repetitionsuthållighet var densamma efter koffein som efter placebo. Däremot rapporterade många av deltagarna obehagliga bieffekter dygnet efter koffeinintaget, inklusive takykardi och bultande hjärta. 68
Effekter av avhållsamhet från koffein
En kort paus från koffeinet hos vana användare verkar innebära små till obefintliga fördelar. En studie visade att 3 mg koffein per kilo kroppsvikt gav lika stora prestationshöjande effekter hos vana koffeinanvändare med eller utan en 4 dagar lång abstinensperiod innan mätningen.69
Det är tänkbart att en längre avhållsamhet än så kan återställa en eventuellt avtrubbad respons av koffeinintag hos vana användare. Det finns dock inte några kontrollerade, träningsrelaterade studier som har undersökt den saken.
Att använda sig av avhållsamhetsperioder kan också öka risken för bieffekter när man återupptar koffeinbruket.
Sammanfattning
Tittar vi på den tillgängliga forskningen och summerar den, verkar det som att kroniskt koffeinbruk kan leda till tillvänjning och ett förminskat gensvar på ett akut koffeinintag före ett träningspass. Det här tycks inte hända för alla koffeinanvändare eller under alla omständigheter, åtminstone delvis på grund av genetiska skillnader och det individuella gensvaret på koffein.
Att introducera regelbundna avhållsamhetsperioder kanske kan återställa känsligheten för koffein hos vana användare, men är inte något som har utforskats i studier. En sådan ökad känslighet medför kan också medföra att risken för bieffekter vid lägre doser ökar, när man återupptar användandet av koffein.
Ett moderat, kroniskt intag på omkring 3 mg koffein per kilo kroppsvikt och dag verkar inte medföra några risker eller problem för en frisk, tränande individ. Innan en avgörande tävling eller ett viktigt träningspass, eller om du känner att dina energinivåer är ovanligt låga, kan du motverka tillvänjning med ett enstaka, extra högdoserat intag. 70
Säkerhet och bieffekter
Rekommenderade säkra övre gränser för koffeinintag varierar från land till land eller från område till område. Den Europeiska myndigheten för livsmedelssäkerhet (EFSA) anser till exempel att enstaka doser av koffein på upp till 200 mg eller 3 mg per kilo kroppsvikt är säkra.71
En ny metaanalys på omkring 400 studier drar slutsatsen att upp till 400 mg koffein per dag inte verkar medföra någon risk för negativa effekter som kardiovaskulära problem eller beteendeförändringar.72
Idrottare använder ofta av större doser än dessa före sina träningspass, i prestationsförbättrande syfte. Deras doser är definitivt mycket högre än vad den kaffedrickande befolkningen i stort konsumerar.
Det är inte utforskat ifall det finns möjliga negativa hälsokonsekvenser av att regelbundet och under lång tid, kanske dagligen, konsumera så stora mängder koffein.
Akuta bieffekter är mycket vanligare.
Koffein kan vara dödligt vid riktigt höga doser, men sådana olyckor brukar bara inträffa vid användning av koffein i pulverform, vilket kan vara svårdoserat. Myndigheter brukar varna för användandet av koffein i pulverform.
Vid annat bruk är överdoserna man kan råka ut för oftast lindriga. De kan vara mycket obehagliga, men är vanligtvis inte farliga utan går över relativt snabbt. Efter intag av 600 mg koffein är det ganska vanligt med bieffekter som skakningar, nervositet, svettningar och illamående. Att använda koffein sent på dagen är också kopplat till sömnstörningar och svårigheter att somna.
Den individuella toleransen avgör gränsen där koffeinintag ger negativa bieffekter. Vissa kan känna sig illamående och skakiga efter ett par hundra mg, medan andra kan ta ett helt gram i ett enda intag och inte känna något speciellt. Långvarig användning av koffein leder sannolikt till en avtrubbad känslighet och ökad tolerans för högre doser.73
Uttorkning
En av de vanligaste föreställningarna om koffein och dess risker är att det är vätskedrivande och kan leda till uttorkning. Det är något du med största sannolikhet inte behöver oroa dig för.
Forskare har undersökt koffeinets vätskedrivande egenskaper i nära ett århundrade. År 1928 rapporterade den första vetenskapliga artikeln större urinvolymer efter koffeinintag. 74
Sedan dess har ett otal studier undersökt effekterna av koffein på vätskebalansen. Resultaten från dessa studier har pekat åt lite olika håll. Trenden pekar på att höga doser av koffein har en liten vätskedrivande effekt, medan låga till moderata doser inte har det.75
Kaffe är sämst på pappret… men det verkar inte spelar någon roll
En studie från 2016 tittade på hur 13 olika, vanliga drycker, inklusive kaffe, te och cola påverkar vätskebalansen.76 Den fann att kaffe fick den sämsta poängen i det så kallade Beverage Hydration Index, en skala över hur olika drycker påverkar vätskebalansen. Jämfört med alla andra drycker gav alltså kaffe sämst vätskebalans, både före och efter justeringar för vätskemängderna i dryckerna.
Den lilla vätskedrivande effekten som koffein utövar verkar dock inte leda till någon form av uttorkning hos vana kaffedrickare eller användare av koffein. Senare tids forskning har faktiskt visat att ett moderat dagligt kaffeintag kan räknas till det dagliga vätskeintaget precis som vatten.77 Vätskan som kaffet bidrar med kompenserar troligtvis alla eventuella negativa effekter av koffeinets vätskedrivande egenskaper.
Sammanfattning
Ett intag av upp till 400 mg koffein per dag verkar vara säkert. Den individuella toleransen avgör hur mycket högre du kan gå utan att börja känna av negativa bieffekter. Känsliga individer kan märka av dessa bieffekter även vid lägre doser. Extrema doser av koffein kan vara skadliga eller till och med dödliga, men bieffekterna av mindre överdoser är mer tillfälligt obehagliga än farliga. På ett sätt kanske det till och med kan vara bra att någon gång ha upplevt känslan av att bli lite illamående och darrig av koffein. Då vet man var gränsen går efter det.
Oavsett ifall koffein har några vätskedrivande egenskaper eller inte vid intag i vila, verkar träning helt eliminera den effekten. En metaanalys på 16 studier visade att koffein har en mild vätskedrivande effekt i vila, men att den effekten inte existerar alls i samband med träning.78 Metaanalysen drar slutsatsen att oro över vätskeförlust efter koffeinintag är obefogad, i synnerhet om intaget följs av träning.
Slutsatser
- Koffeinintag i doser mellan 3 och 6 mg per kilo kroppsvikt ger signifikanta fördelar vid de flesta typer av träning som är beroende av styrka och kraft. Du kanske kan få ytterligare prestationshöjande effekt av ännu högre doser, särskilt vid riktigt tung träning, men den är förhållande liten och du måste väga den mot den större risken för bieffekter.
- Ett moderat koffeinbruk, både kroniskt sådant och i form av akuta doser i samband med träning, verkar vara säkert för friska individer. Det finns inga anledningar att misstänka några risker för uttorkning.
- I dagsläget är det optimala tillfället för koffeinintag innan ett träningspass inte fastställt. Ett antal saker påverkar hur lång tid det tar för den maximala effekten av koffeinet att ta skruv. Många studier har dock visat att det är effektivt att ta koffeinet en timme innan träningen.
- Det finns stora individuella skillnader både när det gäller den prestationshöjande effekten av och toleransen för koffein. För att minimera risken för negativa bieffekter, bör du börja med relativt låga doser, omkring 3 mg per kilo kroppsvikt. Det är tillräckligt för en god effekt för de flesta. Därifrån kan du gradvis öka dosen, vid behov.
Sådär! Nu har du nått slutet på vår guide till koffein! Om du vill ha påtår, kan du följa någon av länkarna nedan för mer läsning.
Effekten av koffein på muskulär styrka och kraft
Kaffe kopplat till minskad risk att dö i förtid, oavsett orsak
Koffein och träning: en uppdatering om de prestationshöjande effekterna
Referenser
- Wake up and smell the coffee. Caffeine, coffee, and the medical consequences.
- Food Chem Toxicol. 2014 Jan;63:136-42. Beverage caffeine intakes in the U.S.
- Eur J Clin Pharmacol. 1983;24(1):93-8. The absolute bioavailability of caffeine in man.
- ISRN Pharmacol. 2013;2013:147238. doi: 10.1155/2013/147238. Epub 2013 Mar 4. Pharmacokinetics of Caffeine following a Single Administration of Coffee Enema versus Oral Coffee Consumption in Healthy Male Subjects.
- Clin Pharmacol Ther. 1993 May;53(5):503-14. The use of caffeine for enzyme assays: a critical appraisal.
- Encyclopedia of Neuroscience
- J Physiol. 1907 Aug 27; 36(1): 33–47.The action of caffeine on the capacity for muscular work.
- Sports Med. 2009;39(10):813-32. Caffeine and anaerobic performance: ergogenic value and mechanisms of action.
- Neurosci Biobehav Rev. 2016 Dec;71:294-312. A review of caffeine’s effects on cognitive, physical and occupational performance.
- Med Sci Sports Exerc. 2010 Jul;42(7):1375-87. Effect of caffeine ingestion on muscular strength and endurance: a meta-analysis.
- Science & Sports, Volume 31, Issue 3, June 2016, Pages 119-128. Acute effect of caffeine consumption on isotonic muscular strength and endurance: A systematic review and meta-analysis.
- J Int Soc Sports Nutr. 2018; 15: 11. Effects of caffeine intake on muscle strength and power: a systematic review and meta-analysis.
- J Strength Cond Res. 2016 Oct;30(10):2892-900. Effect of Coffee and Caffeine Ingestion on Resistance Exercise Performance.
- J Sci Med Sport. 2019 Mar;22(3):353-360. The effects of caffeine ingestion on isokinetic muscular strength: A meta-analysis.
- Br J Sports Med. 2019 Mar 29. Wake up and smell the coffee: caffeine supplementation and exercise performance-an umbrella review of 21 published meta-analyses.
- Anticancer Res. 2012 Sep;32(9):3643-9. Caffeine induces apoptosis of osteosarcoma cells by inhibiting AKT/mTOR/S6K, NF-?B and MAPK pathways.
- Mol Endocrinol. 2005 Jan;19(1):175-83. Farnesylthiosalicylic acid inhibits mammalian target of rapamycin (mTOR) activity both in cells and in vitro by promoting dissociation of the mTOR-raptor complex.
- Appl Physiol Nutr Metab. 2017 Jun;42(6):621-629. The effect of caffeine on skeletal muscle anabolic signaling and hypertrophy.
- Bui, Steve (2015). The Effects of Caffeine Intake on Muscle Protein Synthesis and the Change in Lean Mass Following Resistance Exercise. Doctoral dissertation, Texas A & M University.
- Aging Male. 2019 Mar;22(1):45-54. Caffeine intake is not associated with serum testosterone levels in adult men: cross-sectional findings from the NHANES 1999-2004 and 2011-2012.
- Int J Sport Nutr Exerc Metab. 2008 Apr;18(2):131-41. Dose effect of caffeine on testosterone and cortisol responses to resistance exercise.
- J Sports Med Phys Fitness. 2015 Oct;55(10):1242-51. Dose effects of caffeine ingestion on acute hormonal responses to resistance exercise.
- J Sports Sci Med. 2010 Jun; 9(2): 262–269. Caffeine Attenuates Acute Growth Hormone Response to a Single Bout of Resistance Exercise.
- Sports Med. 2005;35(4):339-61. Hormonal responses and adaptations to resistance exercise and training.
- Eur J Appl Physiol. 2012 Jul;112(7):2693-702. Associations of exercise-induced hormone profiles and gains in strength and hypertrophy in a large cohort after weight training.
- Phys Sportsmed. 2018 Feb;46(1):129-134. The role of hormones in muscle hypertrophy.
- Eur J Appl Physiol. 2011 Sep;111(9):2249-59. Physiological elevation of endogenous hormones results in superior strength training adaptation.
- J Appl Physiol (1985). 2008 Jul;105(1):7-13. High rates of muscle glycogen resynthesis after exhaustive exercise when carbohydrate is coingested with caffeine.
- Int J Sport Nutr Exerc Metab. 2011 Oct;21(5):410-6. The effect of adding caffeine to postexercise carbohydrate feeding on subsequent high-intensity interval-running capacity compared with carbohydrate alone.
- Sports Med. 2018; 48(1): 7–16. Are the Current Guidelines on Caffeine Use in Sport Optimal for Everyone? Inter-individual Variation in Caffeine Ergogenicity, and a Move Towards Personalised Sports Nutrition.
- Sports Med. 2001;31(11):785-807. Caffeine and exercise: metabolism, endurance and performance.
- Med Sci Sports Exerc. 2010 Jul;42(7):1375-87. Effect of caffeine ingestion on muscular strength and endurance: a meta-analysis.
- Sports Med. 2014; 44(Suppl 2): 175–184. Exercise and Sport Performance with Low Doses of Caffeine.
- Int J Sport Nutr Exerc Metab. 2008 Jun;18(3):328-42. Ergogenic effects of low doses of caffeine on cycling performance.
- PLoS One. 2012;7(4):e33807. Caffeine ingestion reverses the circadian rhythm effects on neuromuscular performance in highly resistance-trained men.
- Med Sci Sports Exerc. 2013 Nov;45(11):2184-92. Neuromuscular responses to incremental caffeine doses: performance and side effects.
- Eur J Sport Sci. 2016 Nov;16(8):1079-86. Caffeine improves muscular performance in elite Brazilian Jiu-jitsu athletes.
- Int J Sports Physiol Perform. 2019 Sep 9:1-8. What Dose of Caffeine to Use: Acute Effects of 3 Doses of Caffeine on Muscle Endurance and Strength.
- J Strength Cond Res. 2008 Mar;22(2):464-70. The effect of ephedra and caffeine on maximal strength and power in resistance-trained athletes.
- Med Sci Sports Exerc. 2003 Jun;35(6):987-94. Effects of ephedrine, caffeine, and their combination on muscular endurance.
- Sports Med. 2018; 48(1): 7–16. Are the Current Guidelines on Caffeine Use in Sport Optimal for Everyone? Inter-individual Variation in Caffeine Ergogenicity, and a Move Towards Personalised Sports Nutrition.
- Sports Med. 2001;31(11):785-807. Caffeine and exercise: metabolism, endurance and performance.
- Int J Sport Nutr Exerc Metab. 2016 Jun;26(3):221-39. The Effects of Preexercise Caffeinated Coffee Ingestion on Endurance Performance: An Evidence-Based Review.
- J Strength Cond Res. 2016 Oct;30(10):2892-900. Effect of Coffee and Caffeine Ingestion on Resistance Exercise Performance.
- Eur J Sport Sci. 2016 Sep;16(6):702-10. Effects of coffee and caffeine anhydrous on strength and sprint performance.
- J Anal Toxicol. 2003 Oct;27(7):520-2. Caffeine content of specialty coffees.
- Int J Pharm. 2002 Mar 2;234(1-2):159-67.The rate of absorption and relative bioavailability of caffeine administered in chewing gum versus capsules to normal healthy volunteers.
- J Caffeine Res. 2017 Dec 1;7(4):125-132. A Randomized, Two-Way Crossover Study to Evaluate the Pharmacokinetics of Caffeine Delivered Using Caffeinated Chewing Gum Versus a Marketed Caffeinated Beverage in Healthy Adult Volunteers.
- European Journal of Sport Science, Volume 12, 2012 – Issue 1. Effects of low-dose caffeine supplementation on early morning performance in the standing shot put throw.
- Eur J Nutr. 2017 Feb;56(1):13-27. Acute effects of caffeine-containing energy drinks on physical performance: a systematic review and meta-analysis.
- Sports Med. 2018 Mar;48(Suppl 1):79-91. Administration of Caffeine in Alternate Forms.
- Med Sci Sports Exerc. 2008 Oct;40(10):1841-51. Caffeine improves physical and cognitive performance during exhaustive exercise.
- Eur J Sport Sci. 2014;14(4):353-61. Effects of a carbohydrate and caffeine gel on intermittent sprint performance in recreationally trained males.
- Int J Sports Physiol Perform. 2015 May;10(4):464-8. Improvement of 2000-m rowing performance with caffeinated carbohydrate-gel ingestion.
- Clin Pharmacol Ther. 1993 May;53(5):503-14. The use of caffeine for enzyme assays: a critical appraisal.
- Med Sci Sports Exerc. 2018 Aug;50(8):1570-1578. Caffeine, CYP1A2 Genotype, and Endurance Performance in Athletes.
- Ir J Med Sci. 2019 Feb;188(1):337-345. The effect of CYP1A2 genotype on the ergogenic properties of caffeine during resistance exercise: a randomized, double-blind, placebo-controlled, crossover study.
- Journal of Caffeine Research. VOL. 5, NO. 2. Caffeine Is Ergogenic for Adenosine A2A Receptor Gene (ADORA2A) T Allele Homozygotes: A Pilot Study.
- Nutrients 2019, 11(10), 2313. Effect of Caffeine Supplementation on Sports Performance Based on Differences Between Sexes: A Systematic Review.
- Chronobiol Int. 2019 Apr;36(4):449-460. The effects of time of day-specific resistance training on adaptations in skeletal muscle hypertrophy and muscle strength: A systematic review and meta-analysis.
- PLoS One. 2012;7(4):e33807. Caffeine ingestion reverses the circadian rhythm effects on neuromuscular performance in highly resistance-trained men.
- J Sci Med Sport. 2015 May;18(3):338-42. Improvements on neuromuscular performance with caffeine ingestion depend on the time-of-day.
- J Appl Physiol (1985). 2017 Jul 1;123(1):213-220. Dispelling the myth that habitual caffeine consumption influences the performance response to acute caffeine supplementation.
- Eur J Appl Physiol Occup Physiol. 1991;62(6):424-9. The effects of caffeine on graded exercise performance in caffeine naive versus habituated subjects.
- J Appl Physiol (1985). 2002 Oct;93(4):1227-34. Exercise endurance 1, 3, and 6 h after caffeine ingestion in caffeine users and nonusers.
- J Sports Sci. 2017 Oct;35(19):1920-1927. Chronic ingestion of a low dose of caffeine induces tolerance to the performance benefits of caffeine.
- Nutrients. 2019 Jun 27;11(7). The Acute Effect of Various Doses of Caffeine on Power Output and Velocity during the Bench Press Exercise among Athletes Habitually Using Caffeine.
- The Effects of High Doses of Caffeine on Maximal Strength and Muscular Endurance in Athletes Habituated to Caffeine.
- J Sports Sci. 2011 Mar;29(5):509-15. Caffeine withdrawal and high-intensity endurance cycling performance.
- Sports Med. 2019 Jun;49(6):833-842. What Should We Do About Habitual Caffeine Use in Athletes?
- EFSA Journal. 27 May 2015. Scientific Opinion on the safety of caffeine.
- Food Chem Toxicol. 2017 Nov;109(Pt 1):585-648. Systematic review of the potential adverse effects of caffeine consumption in healthy adults, pregnant women, adolescents, and children.
- Neurosci Biobehav Rev. 2016 Dec;71:294-312. A review of caffeine’s effects on cognitive, physical and occupational performance.
- Journal of Pharmacology and Experimental Therapeutics June 1928, 33 (2) 167-174. Tolerance and cross-tolerance in the human subject to the diuretic effect of caffeine, theobromine and theophylline.
- PLoS One. 2014 Jan 9;9(1):e84154. No evidence of dehydration with moderate daily coffee intake: a counterbalanced cross-over study in a free-living population.
- Am J Clin Nutr. 2016 Mar;103(3):717-23. A randomized trial to assess the potential of different beverages to affect hydration status: development of a beverage hydration index.
- PLoS One. 2014 Jan 9;9(1):e84154. No evidence of dehydration with moderate daily coffee intake: a counterbalanced cross-over study in a free-living population.
- J Sci Med Sport. 2015 Sep;18(5):569-74. Caffeine and diuresis during rest and exercise: A meta-analysis.
Tack för en bra artikel! Kul att löfbergs lila skriver att kaffet kommer från Etiopien (https://www.lofbergs.se/inspiration/fran-fro-till-kopp/). Ingen källa på det vad jag kan hitta
jag tror Löfberg frågade proffesor sualma
När kommer den stora artikeln om snus och hur de relaterar till träning?
Jag tillhör de som inte får någon som helst märkbar effekt av koffein.
I mitt fall är den önskade effekten minskad trötthet och ökad koncentrationsförmåga.
Inte ens med 6mg/kg kroppsvikt.
Jag tar koffein oregelbundet/sällan och dricker inte kaffe.
Energidryck/läsk med koffein dricker jag endast i nödfall, det är dyrt, innehåller för lite koffein och man blir kissnödig ?